01.다항식에 관한 용어
**수학은 정의에서 시작하는 학문이다**
**단항식 다항식 , 항 , 계수 , 동류항**
단항식
=숫자와 문자, 문자와 숫자의 곱으로만 이루어진 수
다항식
=몇 개의 단항식의 합으로 이루어진 식
동류항
계수는 다르지만 문자의 부분이 같은 항
02.다항식의 정리
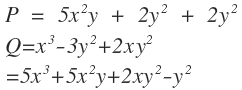
P=
이 있을 때 차수가 높은것부터 내림차순으로 정리한다
05-2 다항식의 덧셈 뺄셈
01.연산의 기본법칙
연산의 기본법칙
05-2 다항식의 덧셈 뺄셈
01.연산의 기본법칙
연산의 기본법칙
교환법칙
A+B = B+A B*A = A*B
결합법칙
(A+B)+C = A+(B+C)
(A*B)*C=A*(B*C)
분배법칙
A*(B+C)= A*B + A*C
(B+C)*A = B*A + C*A
02 다항식의 덧셈 뺄셈
원리 =다항식을 한문자에 대해 정리하는 것, 동류항을 간단히 정리한다
==정리를 편하게 하기위해 계수가 0인 항목을 비워주면 계산하기 좋다
01 간단한 지수법칙
01 간단한 지수법칙
단항식과 단항식의 곱은 지수법칙을 사용해서 계산한다
단항식 * 다항식 = 단항식을 m 다항식을 a+b라 할 때 m(a+b) = ma+mb 로 푼다
03 다항식의 나눗셈
1. 다항식 % 단할식 : a,b,m이 단항식일 때 (a+b)%m = (a+b)*1/m = a/m + b/m
2.다항식 % 다항식
=내림차순으로 정리하고
=수를 나눌때는 다항식 a를 다항식 b로 나눌때의 몫을 Q,나머지가 K일 때, A=BQ+R을 이용
05-4 곱셈공식
정의
=다항식을 전개시 자주 나오는 사항에 대해 모아둔 형태



댓글 없음:
댓글 쓰기